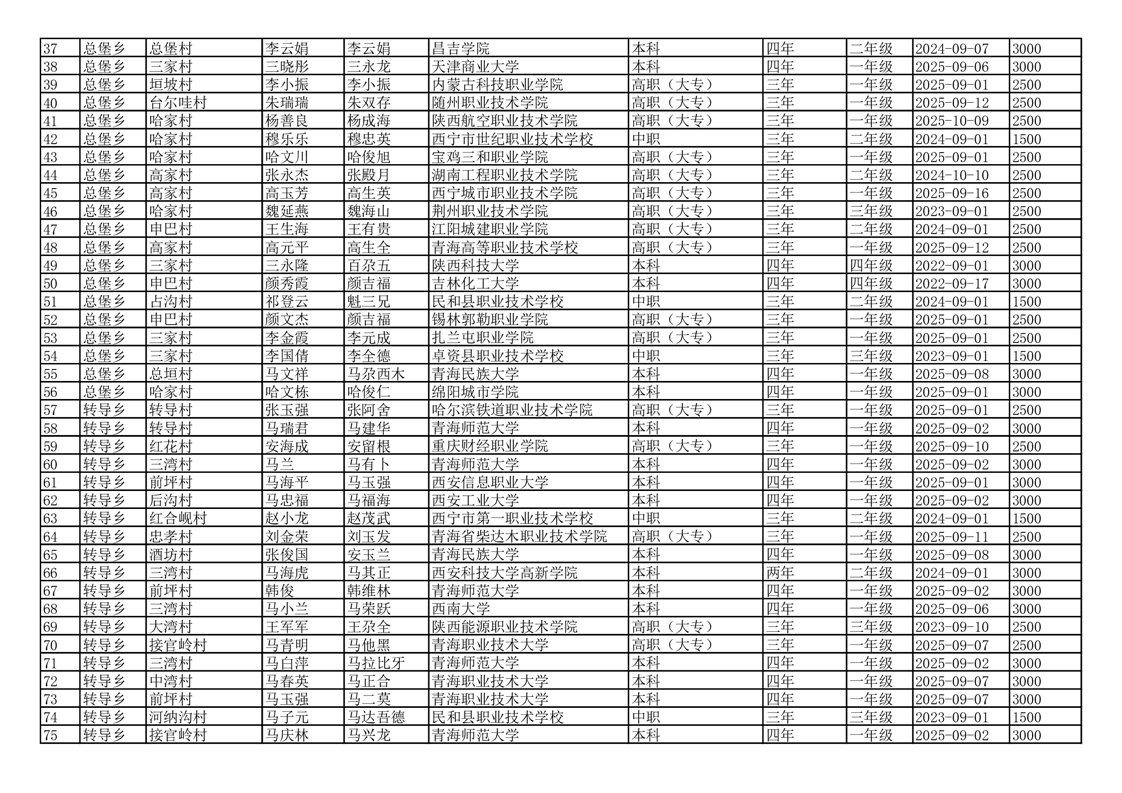
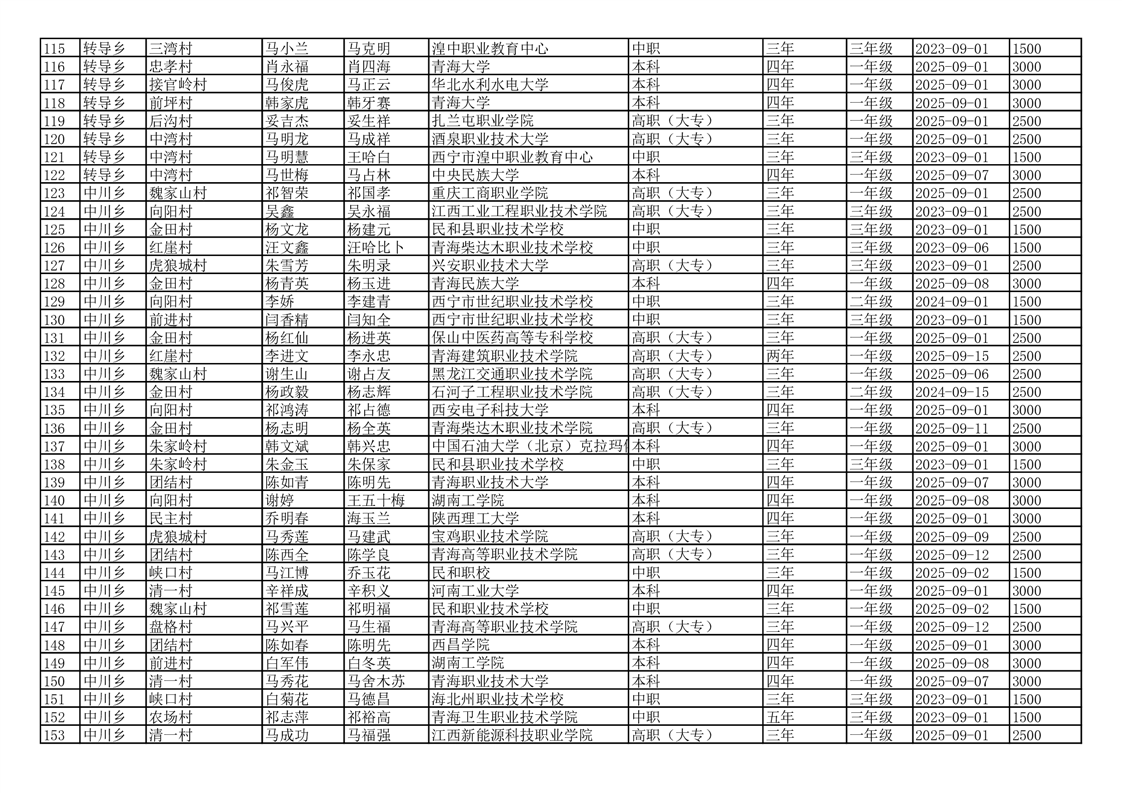
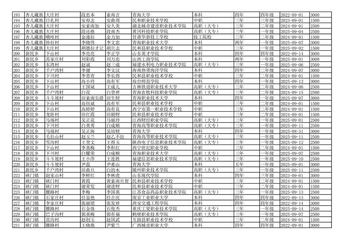
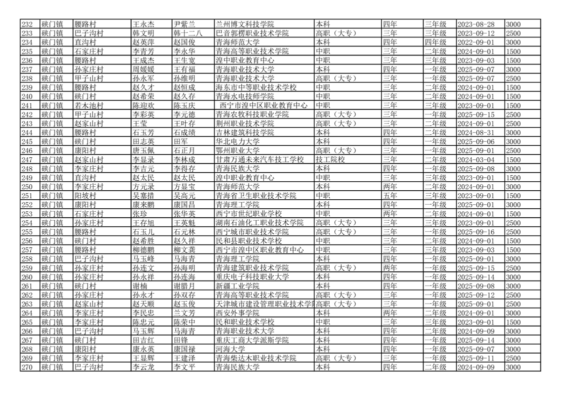
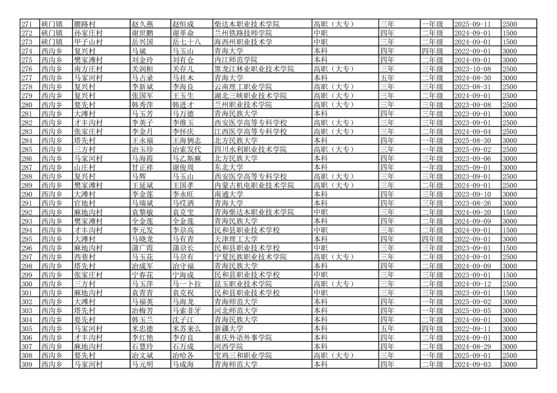
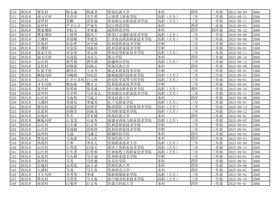
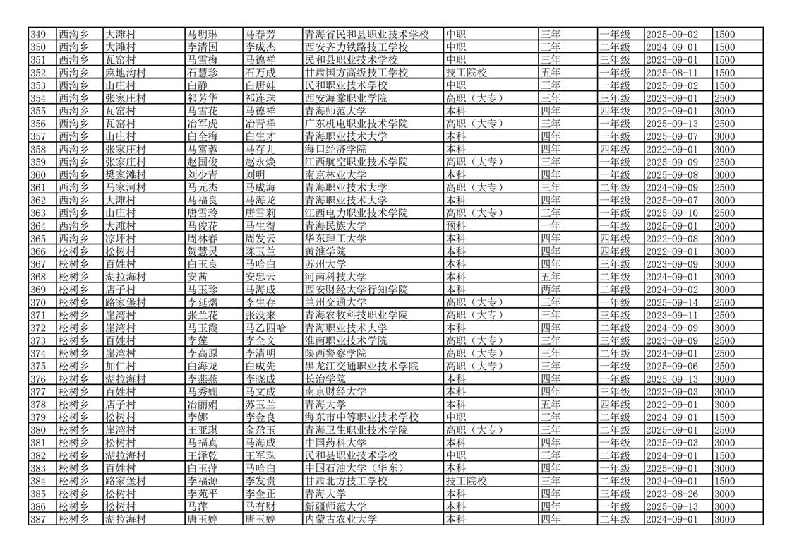
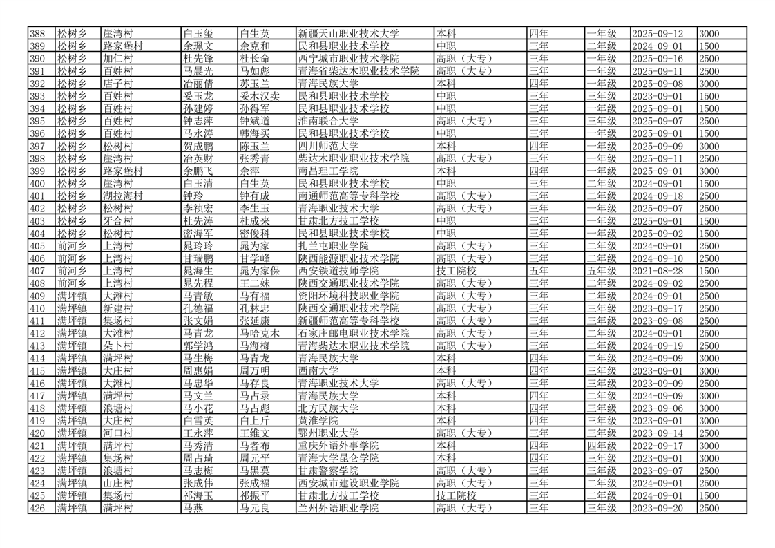
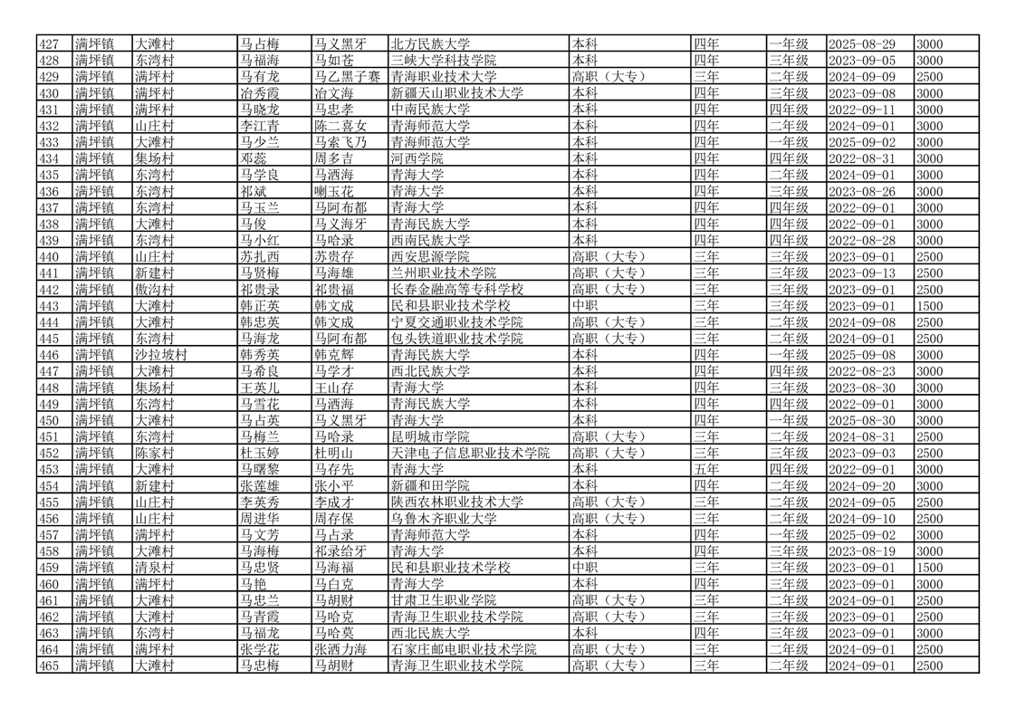
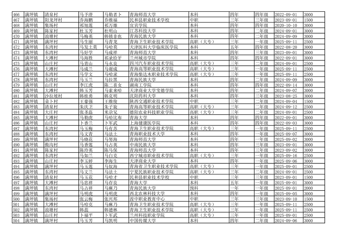
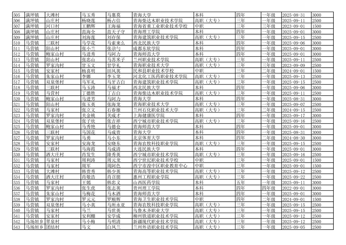
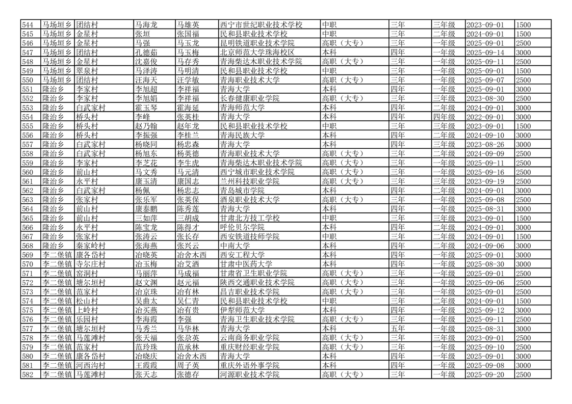
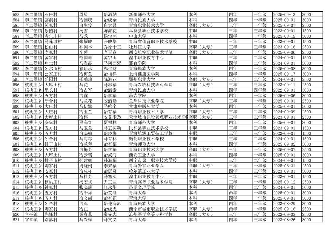
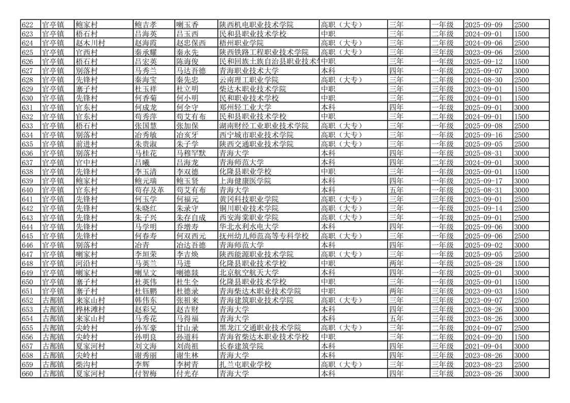
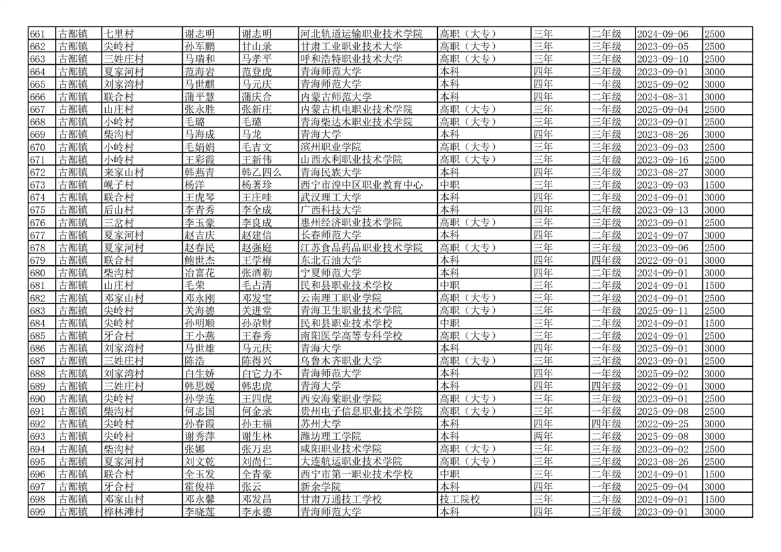
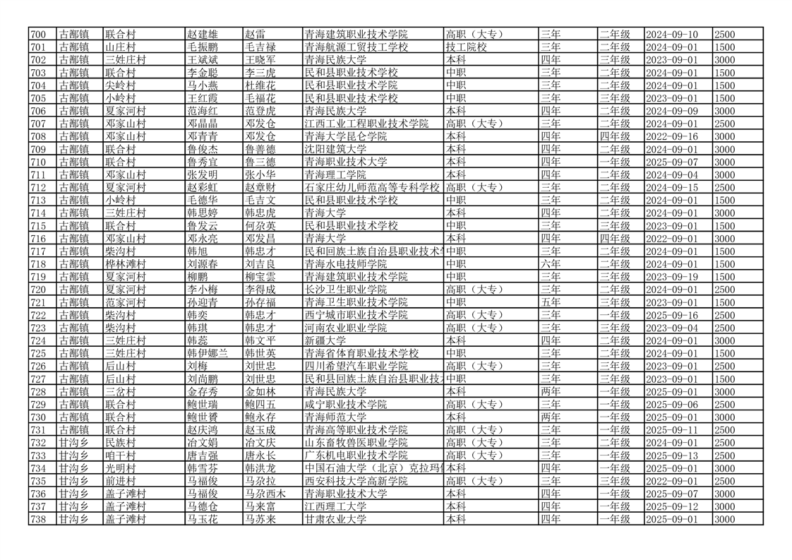
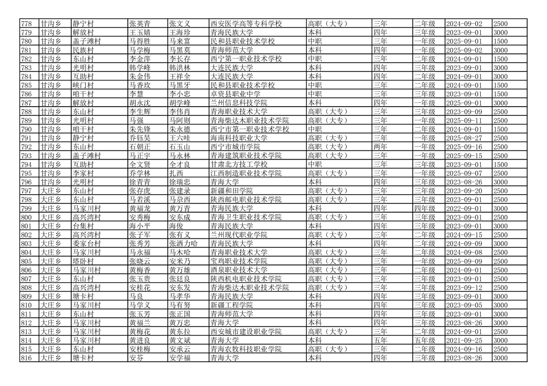
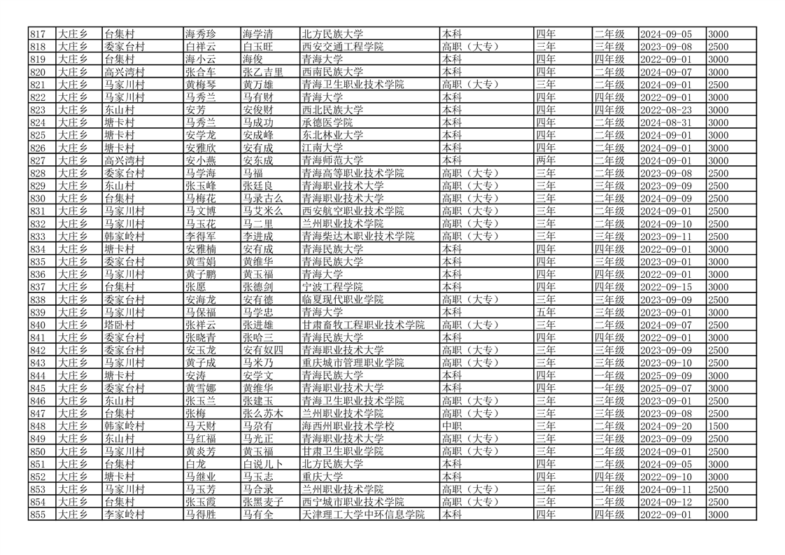
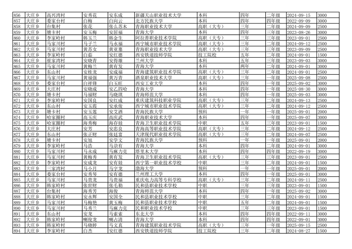
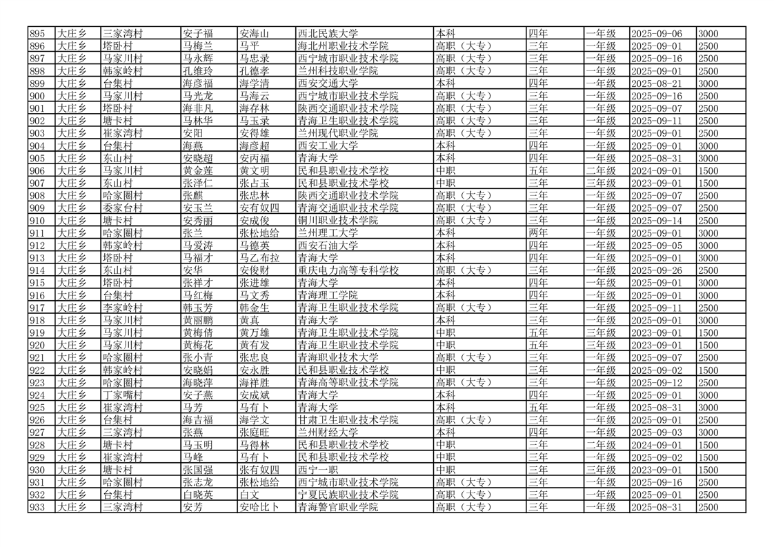
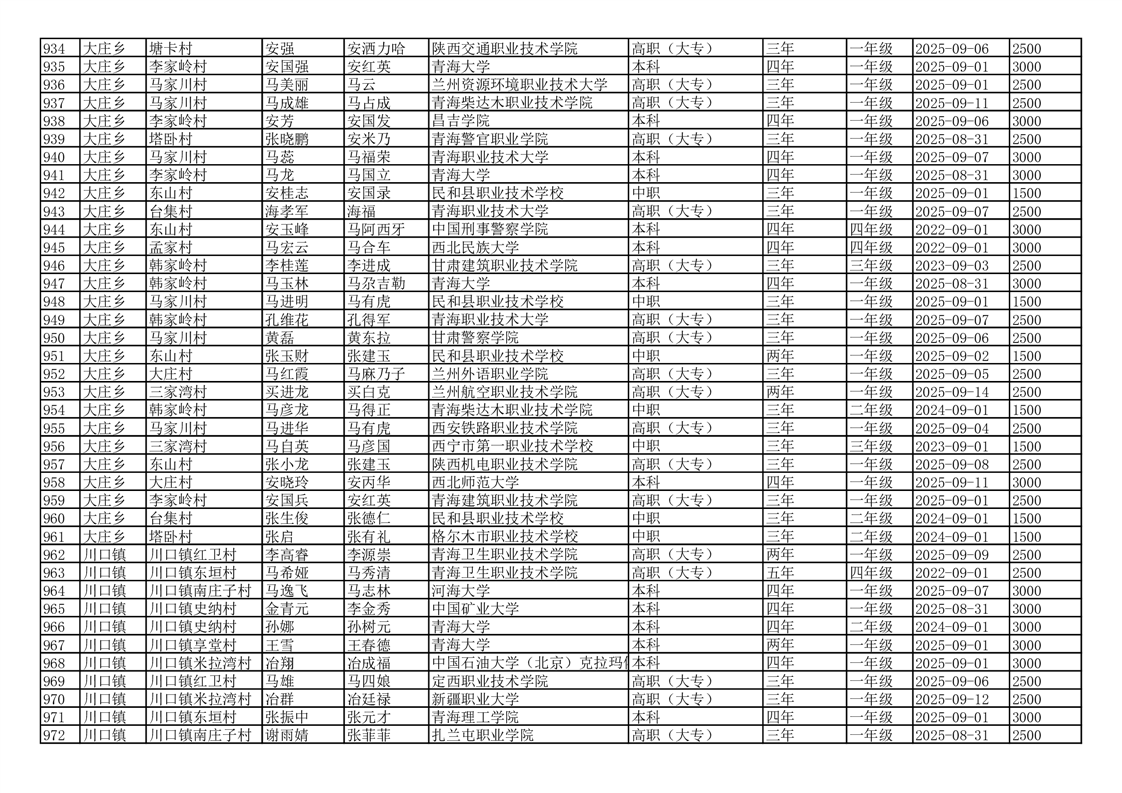
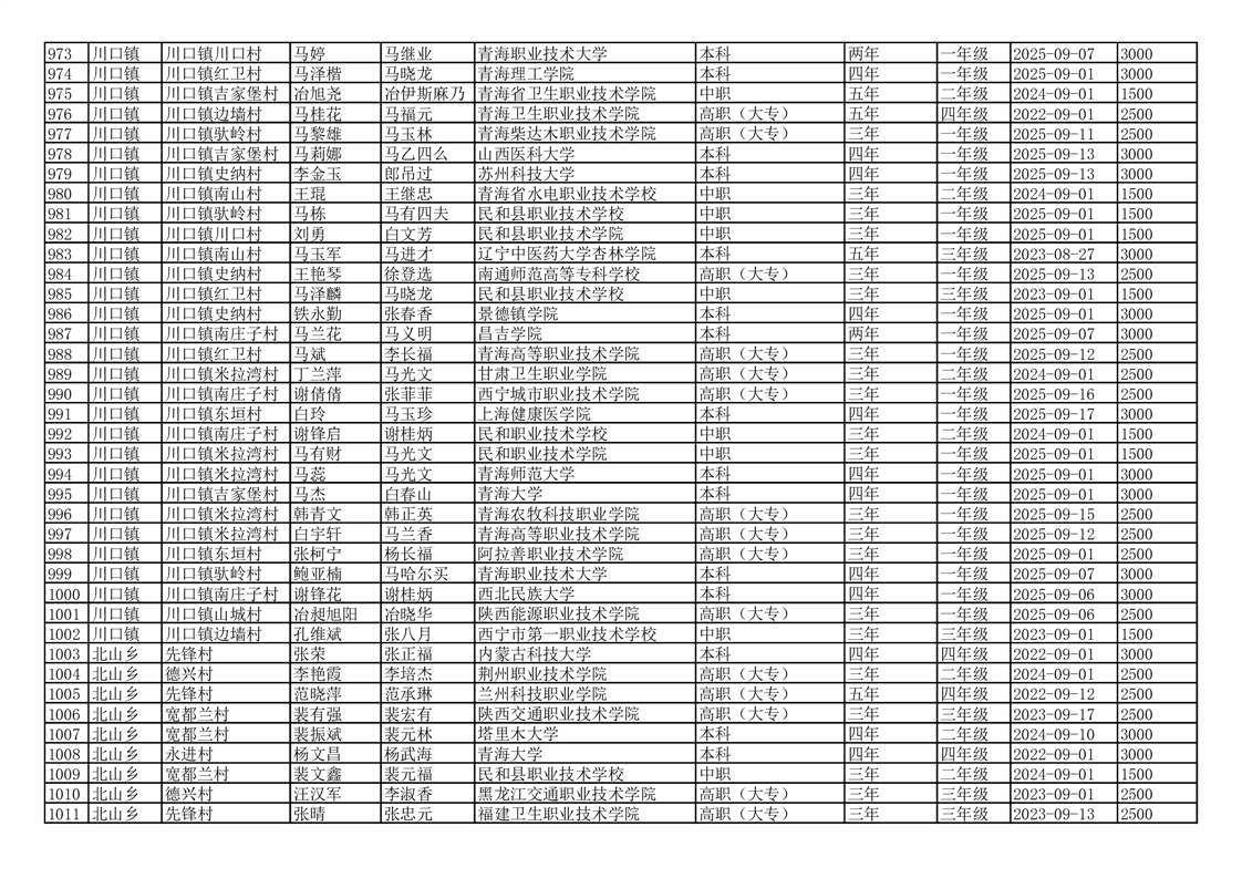
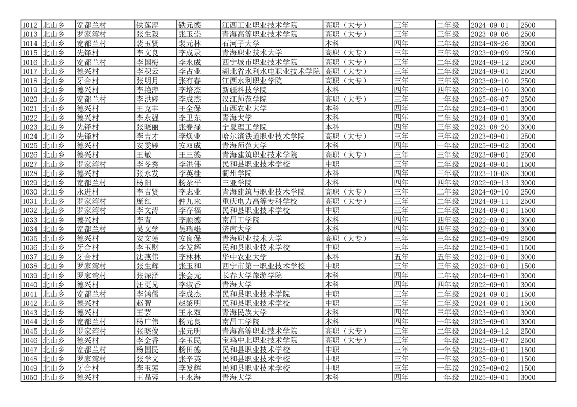
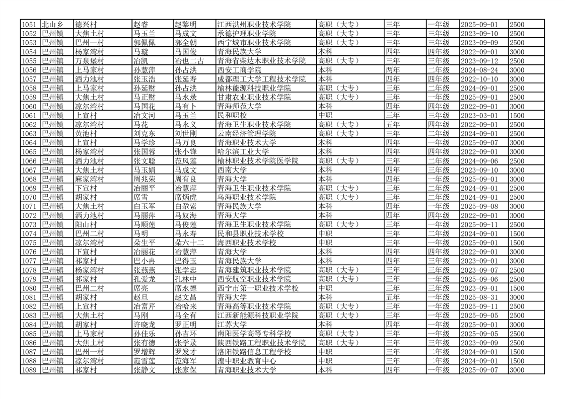
根据《青海省农业农村厅 青海省教育厅 青海省财政厅 青海省人力资源和社会保障厅关于进一步规范“雨露计划”助学补助发放工作的通知》(青农函〔2024〕149号)要求,经村、乡、县三级审核,全县审核通过的第二批在校受助大学生共1147人,受助金额287.8万元,现对祁艳芬等1147名受助学生名单予以公示,公示期一周,如有异议,请即日起7日内向县农业农村和科技局提出意见。
监督电话:0972-7025800(民和县农业农村和科技局办公室)
0972-7025786(监测帮扶办公室)
附件:民和县2025年秋季“雨露计划”第二批贫困学生拟受助名单.xlsx
民和县农业农村和科技局
2025年10月31日




























