首页 > 政府信息公开 > 法定主动公开内容 > 收费项目
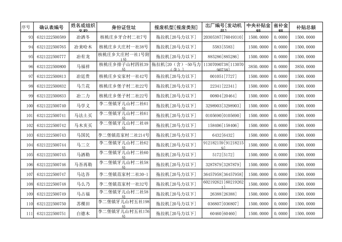
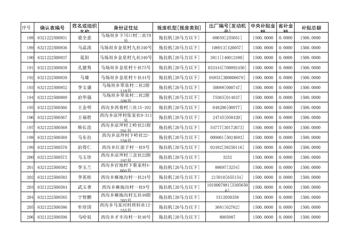
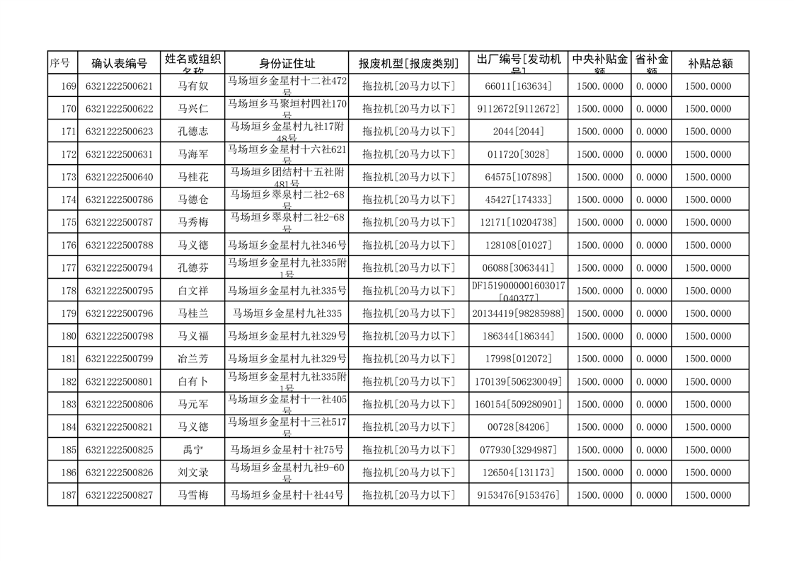
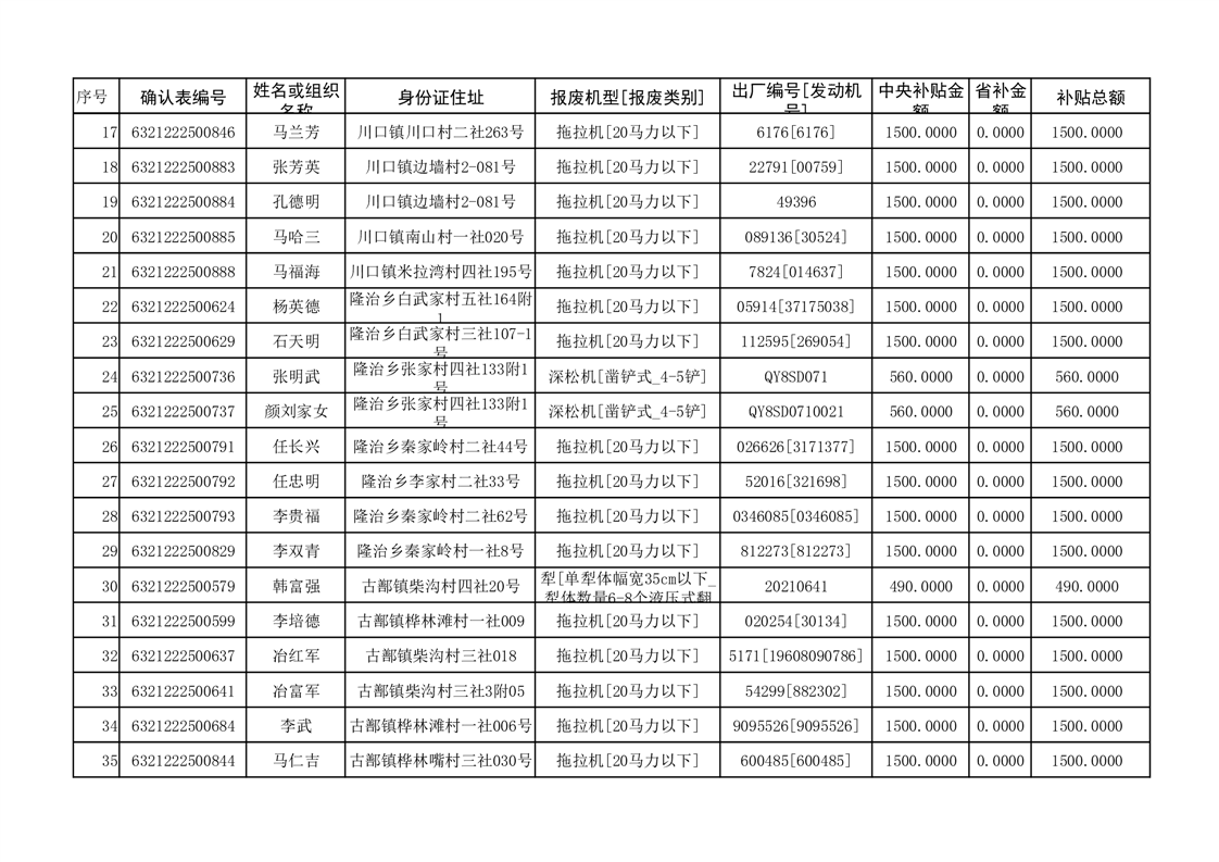
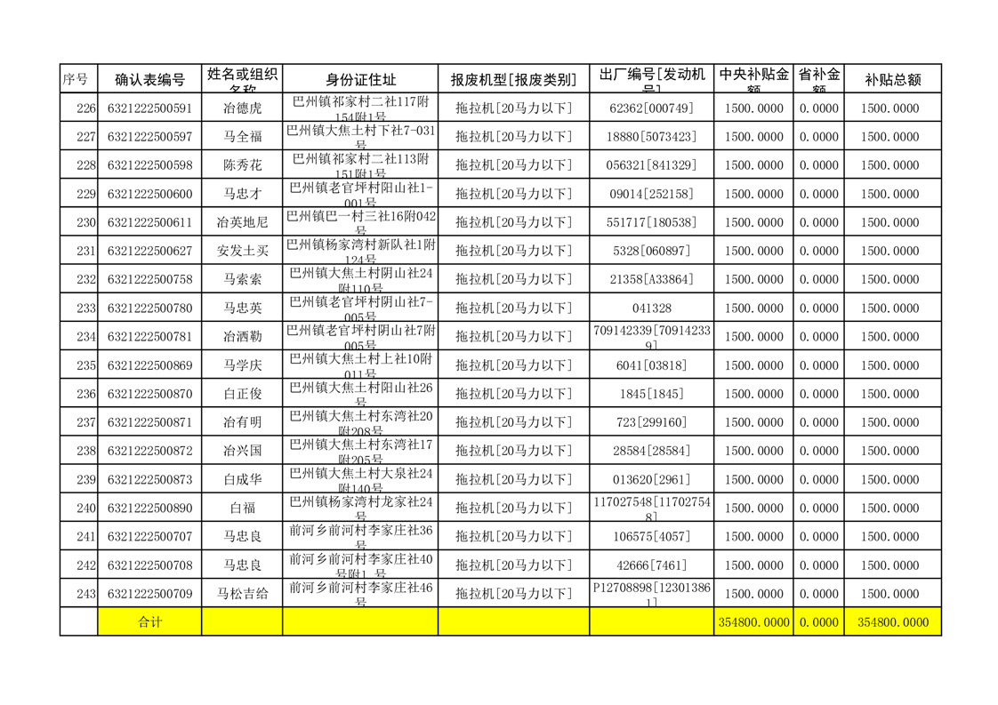
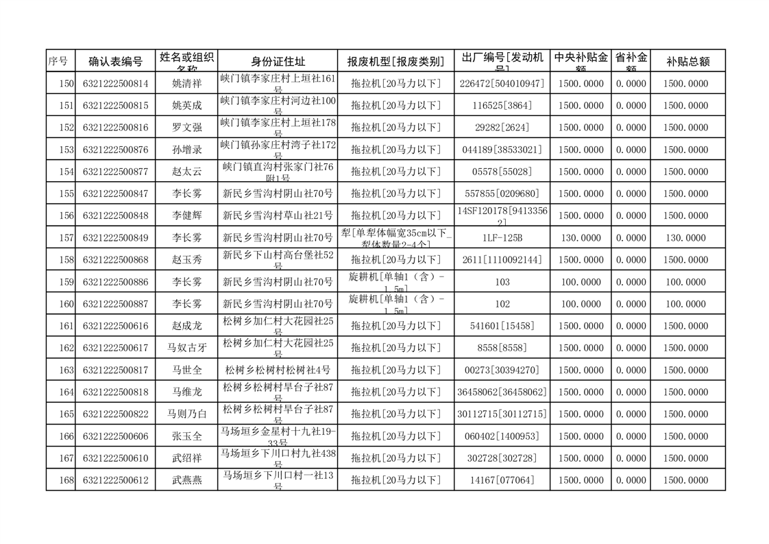
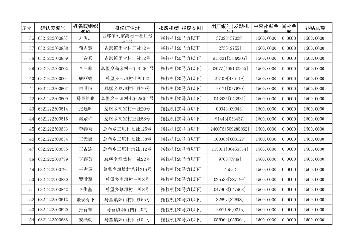
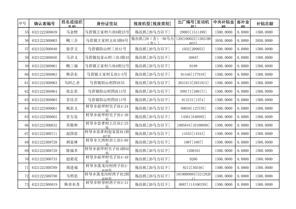
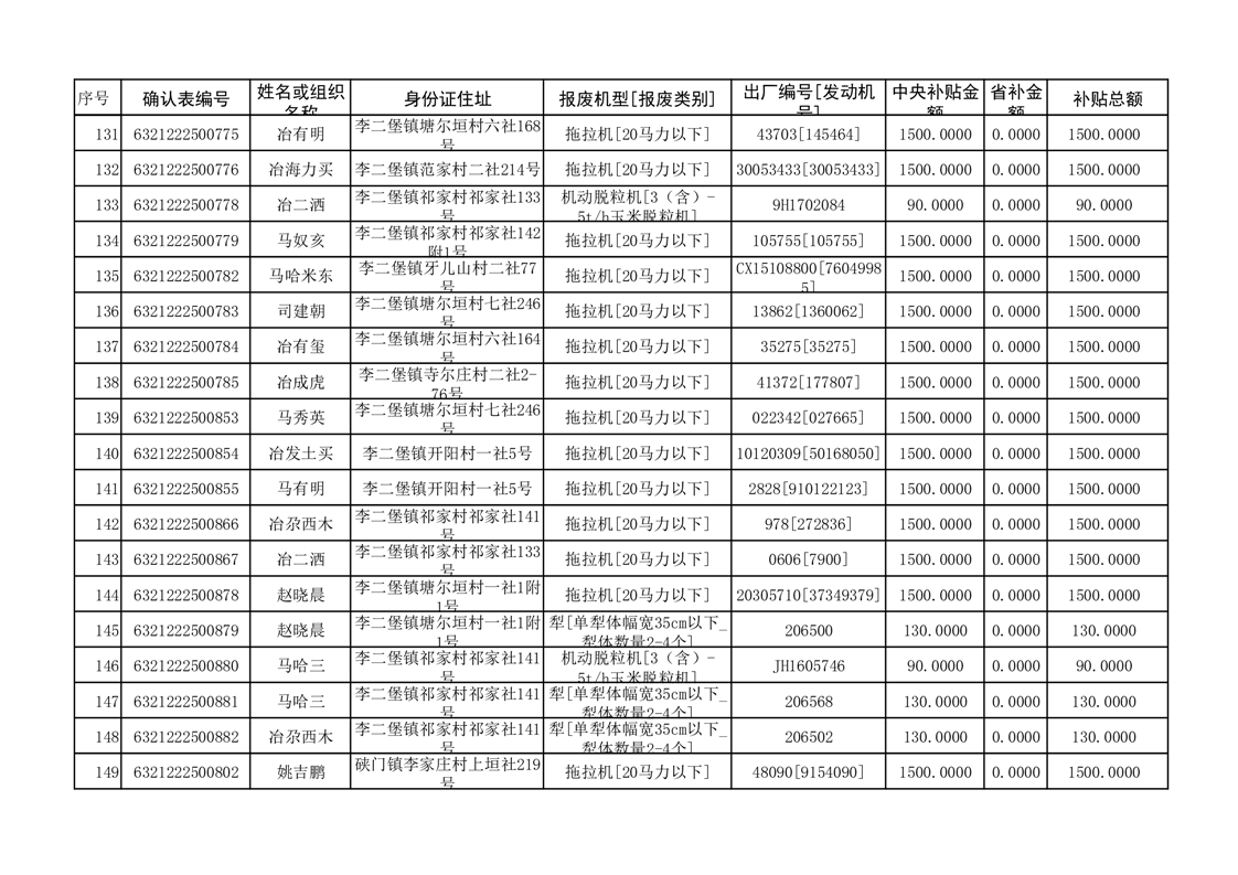
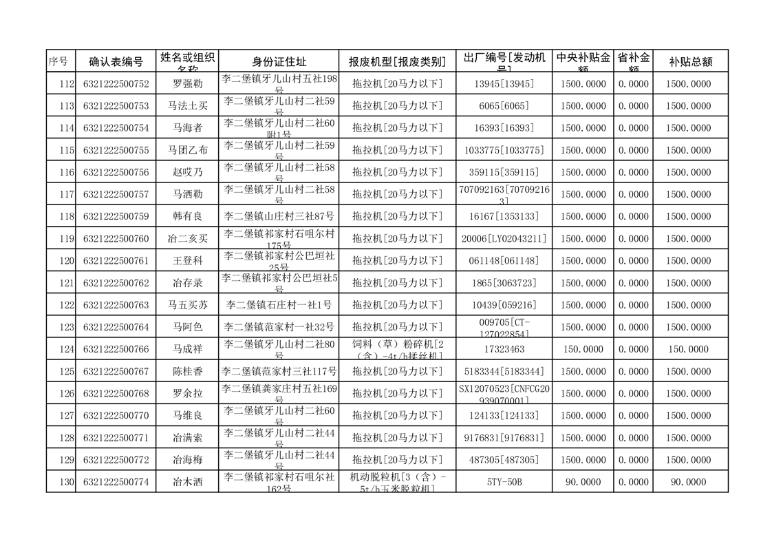
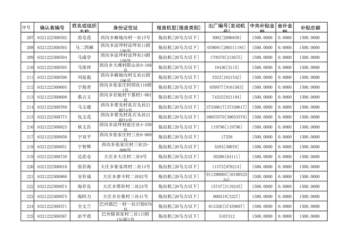
民和县2025年农机报废补贴第四次结算公示表
来源:    时间:2025年07月02日